Задание №3 Сократить дроби и выписать целый коэффициент получаемый в числителе.решите и какое целое число в числителе
5; -3; 1;
Приложения:

Ответы
Ответ дал:
1
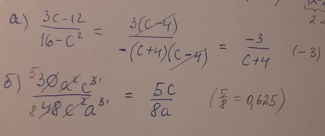
Решение на прикреплённой фотографии
Ответ:
а) -3
б) 5
Приложения:

Вас заинтересует
1 год назад
1 год назад
1 год назад
3 года назад
3 года назад
8 лет назад