Ответы
Ответ дал:
0
Ответ:
.
Объяснение:
(a−b) (b²-c²)-(b-c) (a²-b²)
ab²-ac²-b³+bc²-(a²b-b³-a²c+b²c)
ab²-ac²-b³+bc²-a²b+b³+a²c-b²c
ab²-ac²+bc²-a²b+a²c-b²c
Ответ дал:
0
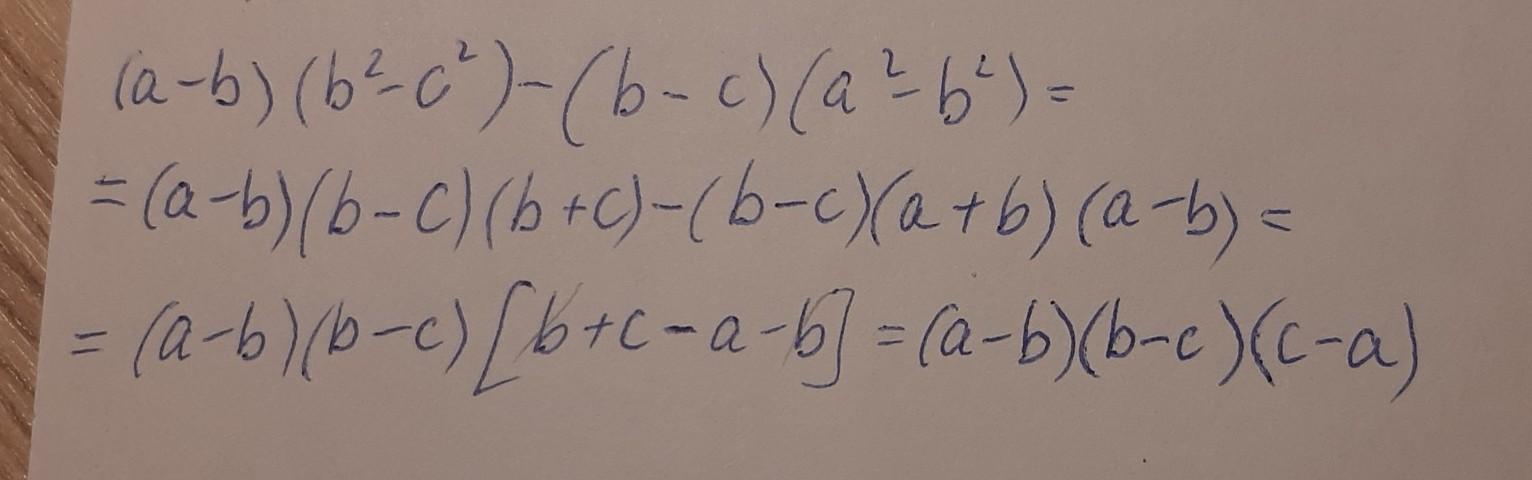
Решение на прикреплённой фотографии
Приложения:

Вас заинтересует
1 год назад
1 год назад
3 года назад
3 года назад
8 лет назад