• Предмет: Алгебра
  • Автор: novitskadarunka
  • Вопрос задан 2 года назад

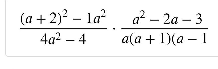
допоможіть пжж
даю 50 балів​

Приложения:

Ответы

Ответ дал: сок111213
2

Решение на прикреплённой фотографии

Приложения:
Вас заинтересует