Ответы
Ответ дал:
0
Ответ:
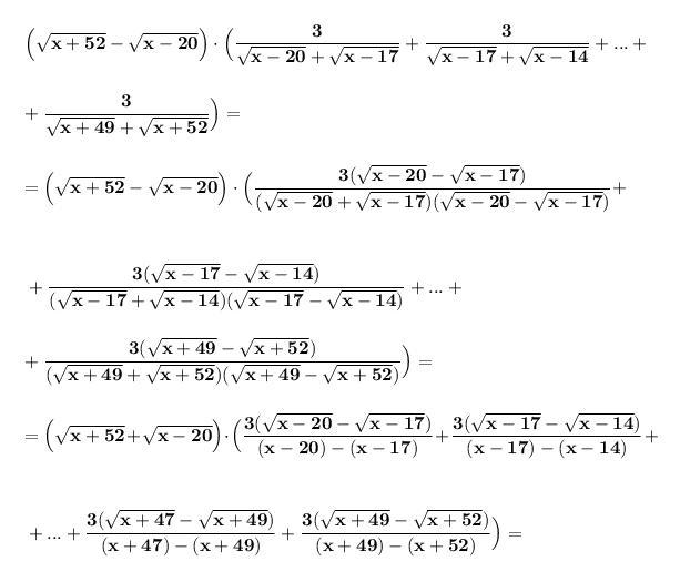
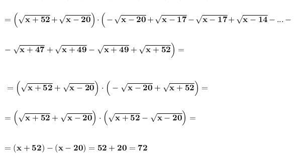
Упростить выражение . Сначала избавимся от корней в знаменателе
Для этого домножим числитель и знаменатель дроби на выражение,
сопряжённое знаменателю, и воспользуемся формулой разности
квадратов :
.
Приложения:


Вас заинтересует
1 год назад
1 год назад
3 года назад
3 года назад
8 лет назад