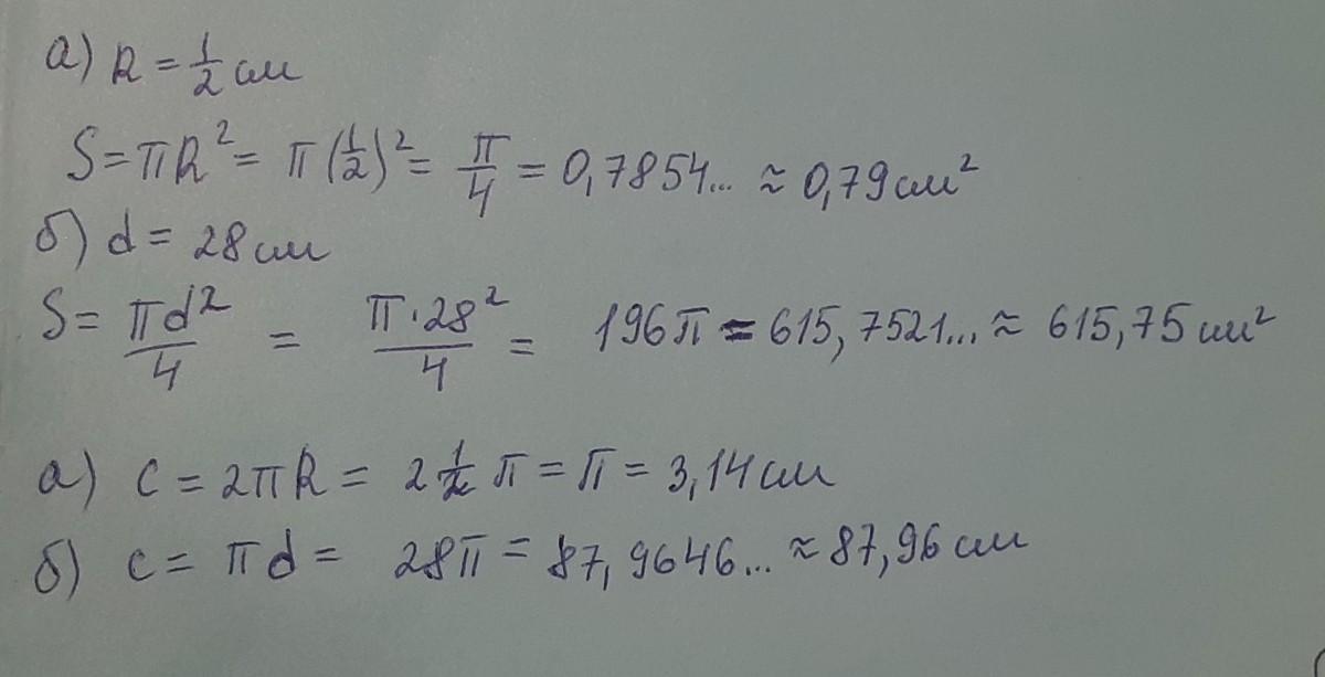
4. Обчисли довжину кола та площу круга, якщо :
а) радіус кола дорівнює 1/2 см
б) діаметр кола дорівнює 28 см
Ответы
Ответ дал:
2
Решение на прикреплённой фотографии
Приложения:

Ответ дал:
1
Пошаговое объяснение:
№1
R = 1/2 см = 0,5 см
π = 3,14
С = ? см
S = ? см²
C = 2πR
C = 2 * 3,14 * 0,5 = 3,14 см
S = πR²
S = 3,14 * 0,5² = 3,14 * 0,25 = 0,785 см²
№2
D = 28 см
π = 3,14
С = ? см
S = ? см²
С = πD
C = 3,14 * 28 = 87,92 см
S = πR²
R = D : 2 = 28 : 2 = 14 см
S = 3,14 * 14² = 3,14 * 196 = 615,44 см²
Вас заинтересует
1 год назад
1 год назад
1 год назад
3 года назад
3 года назад
8 лет назад