• Предмет: Алгебра
  • Автор: takeare
  • Вопрос задан 2 года назад

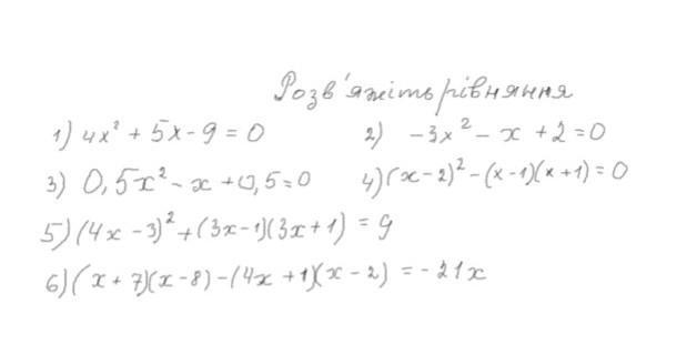
Допоможіть будь ласка,даю 76 балів ​

Приложения:

Ответы

Ответ дал: fecku31
0

Ответ:

1)х1=2,25. х2=1

2)х1=2/3

х2=-1

3)х=1

4)х=1.25

5)х1=-0.04

х2=0.6

6)х1=6

х2=3

Объяснение:

Вас заинтересует