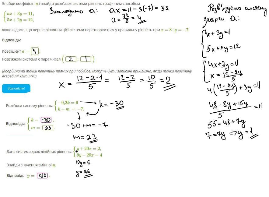
4. Знайди коефіцієнт a і знайди розв'язок системи рівнянь графічним способом
{ax+3y=11,
{5x+2y=12,
( Дві "{" = один великий значок суми! )
якщо відомо, що перше рівняння цієї системи перетворюється у правильну рівність при x= 8 і y= −7.
Відповідь:
Коефіцієнт a= ... ;
Розв'язком системи є пара чисел ( ... ; ... )
(Координати точки перетину прямих при побудові можуть бути записані приблизно, якщо точка перетину всередині клітинки)
5. П'яте завдання на картинці:
6. Шосте завдання також на картинці:
Приложения:



BeraSmoothy:
А це робити?!
Ответы
Ответ дал:
1
Ти пообіцяй, Сашо, що розберешся хоч трохи в цій темі)
Приложения:

ludmilaksenija2005, ви мені дуже допомогли! Завдяки вам мені сайт написал "ВАШ РЕЗУЛЬТАТ
100%
ПРАВИЛЬНО, МОЛОДЕЦЬ!" Це ваша оцінка! Але я обов'язково вивчу цю тему!
Ответ дал:
1
Объяснение:
4.
{ax+3y=11
{5x+2y=12
x=8 ; y= -7
a•8+3•(-7)=11
8a-21=11
8a=11+21
8a=32
a=4
{4x+3y=11
{5x+2y=12
4x+3y=11 голубая
3y=11-4x
y=11/3-4/3x
таблица:
х 0 11/4
у 11/3 0
5х+2у=12 красная
2у=12-5х
у=6-5/2х
таблица:
х 0 2
у 6 1
точка пересечения: (2;1)
ответ:
а=4
решение системы пара чисел : (2;1)
5.
{-0,2k=6 k=6:(-0,2)= -30
{k+m= -7
-30+m= -7
m= -7+30
m=23
{k= -30
{m=23
6.
{y+20x=2
{9y-20x=4
+ ————
10y=6
y=6:10
y=0,6
Приложения:

100%
ПРАВИЛЬНО, МОЛОДЕЦЬ!" Це ваша оцінка! Але я обов'язково вивчу цю тему!
Вас заинтересует
1 год назад
1 год назад
1 год назад
1 год назад
3 года назад