• Предмет: Физика
  • Автор: tomibelen95
  • Вопрос задан 2 года назад

пожалуйста,объясните .....

Приложения:

Ответы

Ответ дал: ajdanaturdubekova1
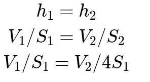
1

Объяснение:

в состояний равновесия это равновесия высота .

значит установления равновесия второй сосуд нужно залить в 4 раза больше воды чем в 1

Значит, 4 части воды выльется в большой цилиндр, а 1 часть останеться в узком цилиндре

1 часть = 20/5=4см воды - это и есть высота равновесия

Значит высота узкого уменьшиться на 16 см, а широкого увеличиться на 4 см

Приложения:

tomibelen95: благодарю!!!
Вас заинтересует