• Предмет: Алгебра
  • Автор: llidabirchenko
  • Вопрос задан 2 года назад

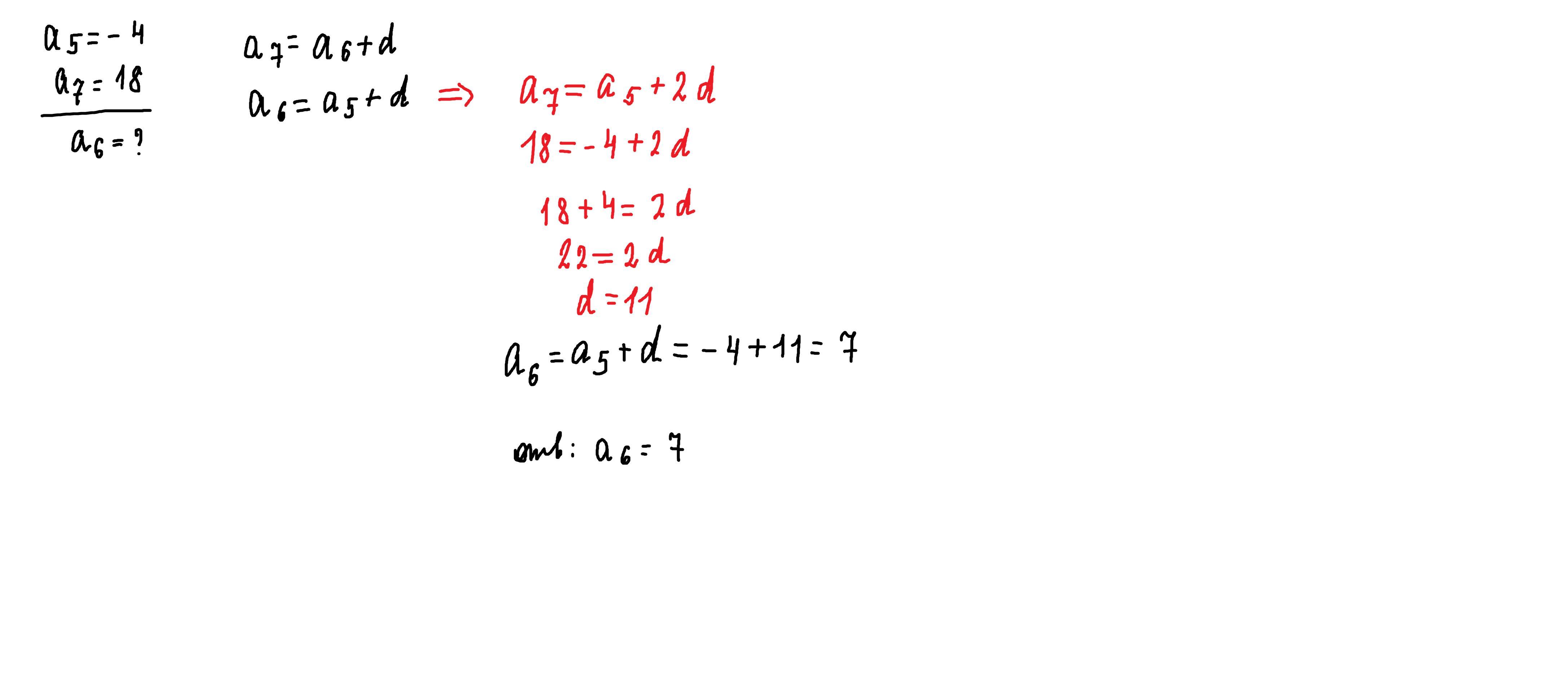
Дано арифметичну прогресію. Знайдіть а6, якщо а5 = - 4; а7 = 18.​

Ответы

Ответ дал: parus77
0

Ответ:

а6=7

Объяснение:

решение внизу

Приложения:
Вас заинтересует