Алгебра. Даю 100 балів. потрібно вирішити завдання з максимальним поясненням щоб було усе зрозуміло будь ласка.
з дуже детальним поясненням будь ласка
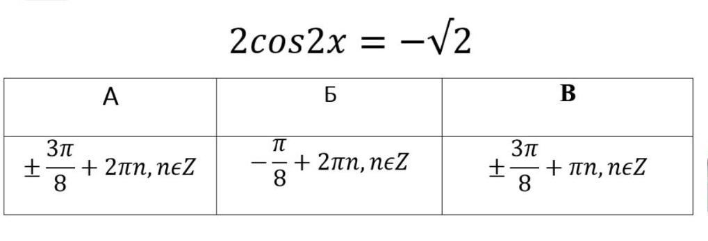
Приложения:


Ответы
Ответ дал:
1
В другому в тебе буде 2 відповіді, або від тебе потребують чогось іншого, і ти не вказав це в завданні
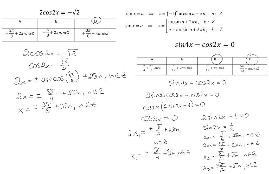
Приложения:

BeraSmoothy:
Радий, що зміг тобі допомогти)
Вас заинтересует
1 год назад
1 год назад
1 год назад
1 год назад
3 года назад
3 года назад
8 лет назад