• Предмет: Алгебра
  • Автор: msabi
  • Вопрос задан 2 года назад

СРОЧНО ПОМОГИТЕ, АЛГЕБРА 8

Приложения:

Ответы

Ответ дал: aridanmaster08
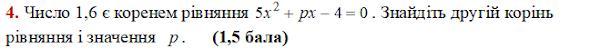
1

По т. Виета в неприведенном уравнении

x1+x2=-p/a

x1*x2=q/a

x1=1.6

1.6*x2=-4/5=-0.8

x2=-0.5

x1+x2=-p/2

1.6+(-0.5)=-p/5

1.1=-p/5

p=-5.5

Ответ: p = -5.5

x2 = -0.5

Отметь как лучший ответ, если не сложно


msabi: там еще 1 вроде
aridanmaster08: Все
Вас заинтересует