• Предмет: Геометрия
  • Автор: Michael12341
  • Вопрос задан 2 года назад

Помогите пожалуйста, фото прикрепил

Приложения:

Ответы

Ответ дал: NNNLLL54
1

Ответ:

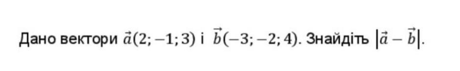
\bf \overline{a}\ (2;-1;3)\ \ ,\ \ \overline{b}\ (-3;-2;4)  

Координаты разности векторов равны разности соответствующих координат , поэтому

\bf \overline{a}-\overline{b}=(2-(-3)\ ;\ -1-(-2)\ ;\ 3-4\ )\\\\ \overline{a}-\overline{b}=(\ 5\ ;1\ ;-1\ )  

Найдём длину (модуль) полученного вектора :

\bf  |\, \overline{a}-\overline{b}\, |=\sqrt{5^2+1^2+(-1)^2}=\sqrt{25+1+1}=\sqrt{27}=3\sqrt3                          

Приложения:
Вас заинтересует