Ответы
Ответ дал:
0
Ответ:
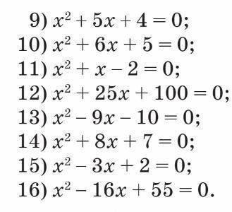
Ось відповідь. сподіваюсь розберете
Приложения:


Ответ дал:
0
Ответ:
Уже решили
Объяснение:
:)
Вас заинтересует
1 год назад
1 год назад
1 год назад
3 года назад
3 года назад
8 лет назад