• Предмет: Математика
  • Автор: yaroslaw228439
  • Вопрос задан 2 года назад

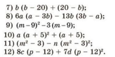
пишіть просто відповіді, даю 25 баліав

Приложения:

Ответы

Ответ дал: illamihaile
1

якщо треба спростити вираз то бери

1) 2

b - 21b+20

2) 2 2

6a - 5ab- 39b

3) 2

m - 21m + 108

4) 3 2

a + 10a +26a+5

5) 2 4 2

m - 3 - m n + 6m n- 9n

6) 2

8cp-96c+7dp - 168dp + 1008d

Вас заинтересует