• Предмет: Алгебра
  • Автор: Xui45
  • Вопрос задан 2 года назад

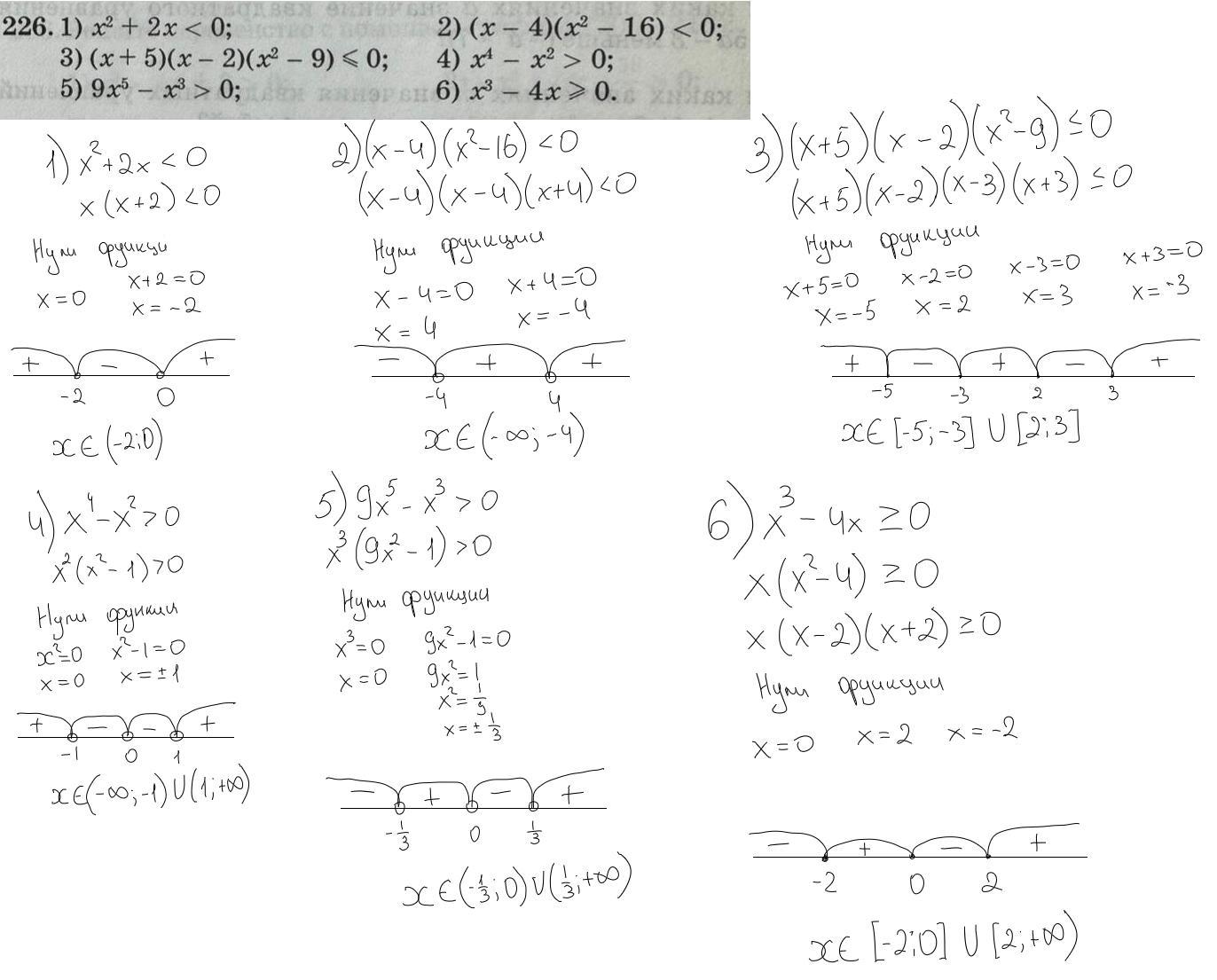
решить неравенства
помогите пожалуйста!!

Приложения:

Ответы

Ответ дал: BeraSmoothy
1

Надеюсь помог разобраться тебе с заданием ;)

Желаю тебе хорошего дня и отличного настроения!!

Приложения:

Xui45: о боже, спасибо вам большое!!!!
Вас заинтересует