• Предмет: Алгебра
  • Автор: Аноним
  • Вопрос задан 2 года назад

ДАЮ ЛУЧШИЙ ОТВЕТ
ПОЛНОЕ РАЗВЯЗАНИЕ ПОЖАЛУЙСТА
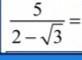
Избавиться от иррациональности в знаменателе:​

Приложения:

Ответы

Ответ дал: darissaa
0

Відповідь: 5/2-√3= 5*(2+√3)/(2-√3)(2+√3)=5*(2+√3)/4-3=5*(2+√3)/1=5*(2+√3)=10+5√3

Пояснення:

Вас заинтересует