• Предмет: Геометрия
  • Автор: fenikx
  • Вопрос задан 11 лет назад

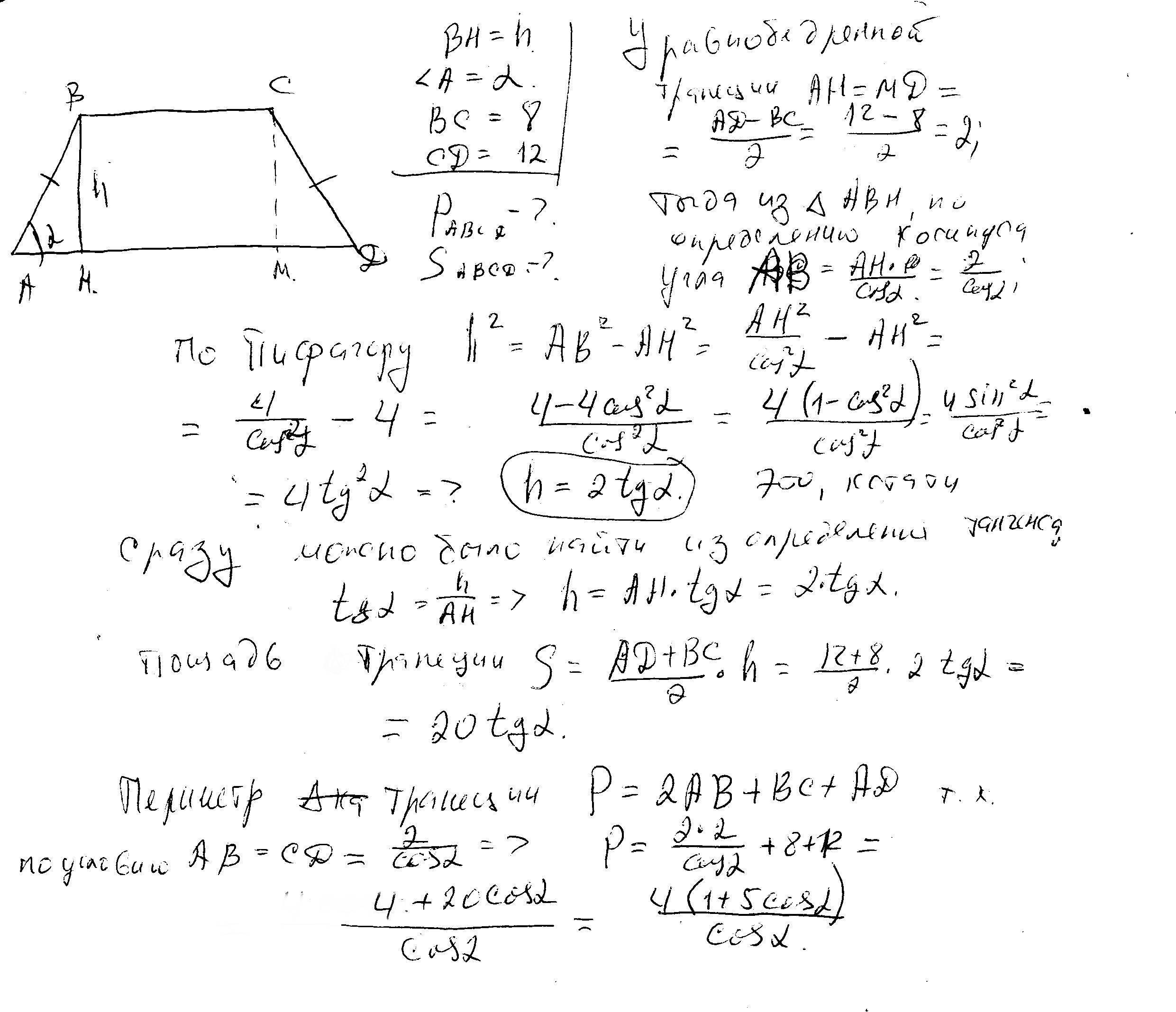
В равнобедренной трапеции основания равны 8 и 12 см, меньший угол равен альфа. Найти периметр и площадь трапеции.

Ответы

Ответ дал: ужнеужели
0
Решение в скане................
Приложения:
Вас заинтересует