• Предмет: Математика
  • Автор: peperdikon
  • Вопрос задан 2 года назад

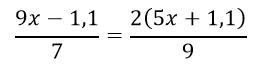
Розв'яжіть рівняння:

Приложения:

Ответы

Ответ дал: jua20496
2

Ответ:

(9x-1,1)/7=(2(5x+1,1))/9 ;

9(9x-1,1)=7(2(5x+1,1)) ;

81x-9,9=14(5x+1,1) ;

81x-9,9=70x+15,4 ;

81x-70x=15,4+9,9 ;

11x=25,3 l

x=25,3/11 ;

x=2,3 ;

Вас заинтересует