• Предмет: Математика
  • Автор: fr3z3x
  • Вопрос задан 2 года назад

Пожалуйста, помогите решить уравнение.
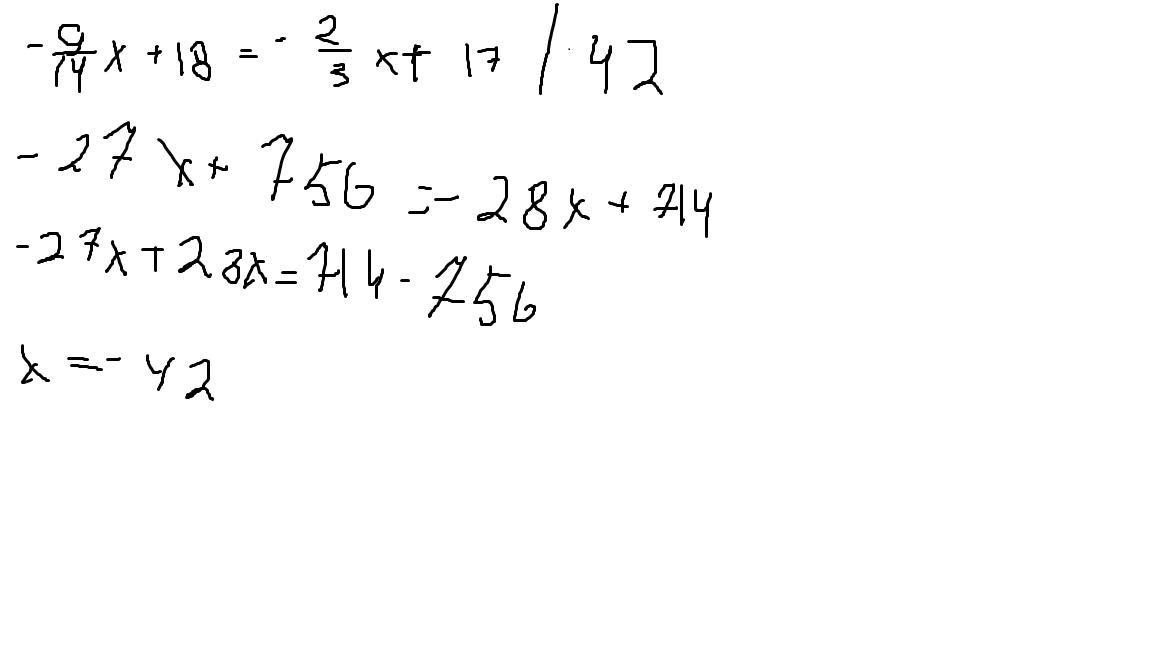
-9\14х+18=-2\3х+17
Даю 10 баллов!!


fr3z3x: срочно

Ответы

Ответ дал: vanyabatwing
1

Ответ:

Перенесём все неизвестные (x) на одну сторону уравнения, а все константы на другую:

-9/14x + 2/3x = 17 - 18

Вычислим общий знаменатель для дробей на левой стороне уравнения (14 и 3):

-27/42x + 28/42x = -1

Сокращаем дроби и складываем:

1/42x = -1

Умножаем обе стороны на 42:

x = -42

Ответ: x = -42.

Пошаговое объяснение:


fr3z3x: спасибо я очень благодарен тебе
Ответ дал: povaliaevavika716
1

Відповідь:

ответ в фото

Покрокове пояснення:

Приложения:

fr3z3x: спасибо большое
Вас заинтересует