• Предмет: Математика
  • Автор: alinaSyanskaya
  • Вопрос задан 2 года назад

добоможіть
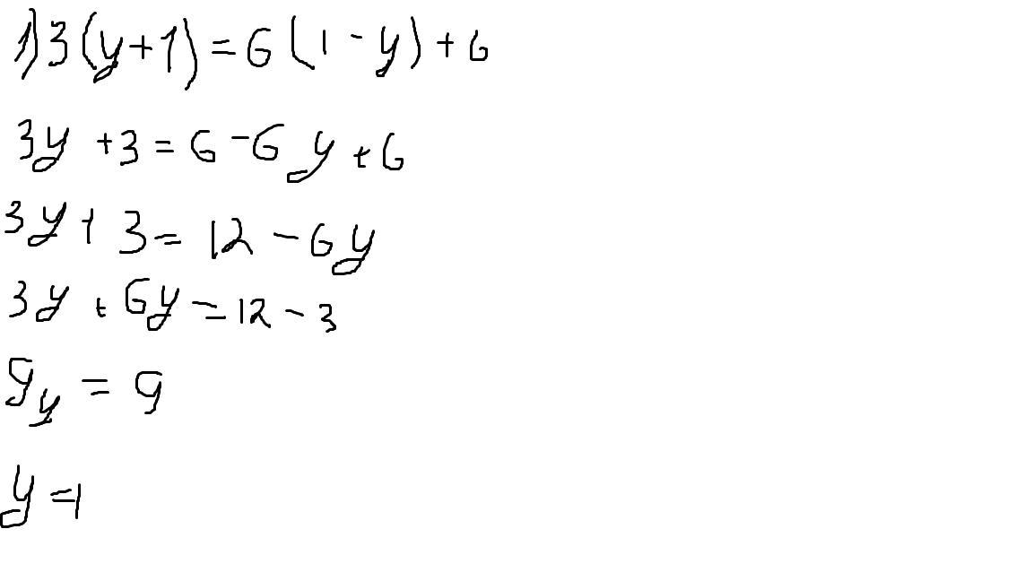
1) 3(у+1) = 6(1-у)+6
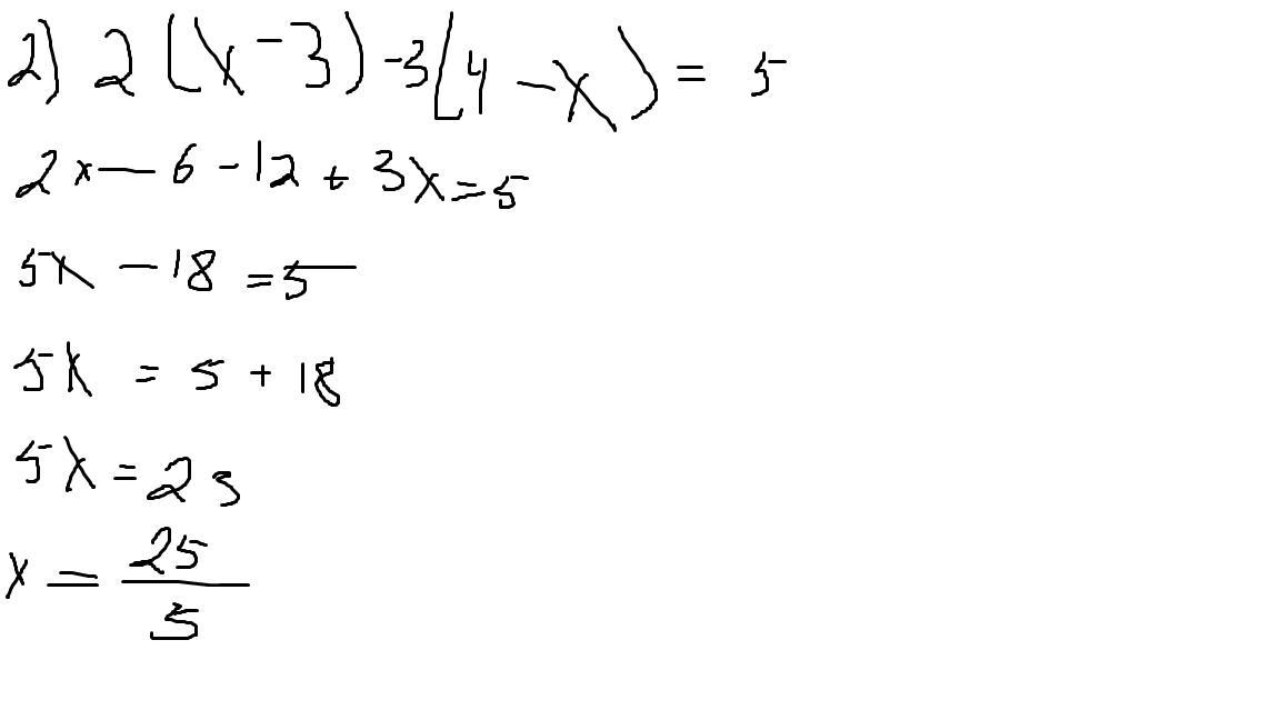
2) 2(х-3)-3(4-х)=5
3) 7+4(3-у)=5(у+2)

Ответы

Ответ дал: povaliaevavika716
0

Відповідь:

Відповідь у фото

Покрокове пояснення:

Приложения:
Вас заинтересует