• Предмет: Алгебра
  • Автор: yaroslavletovchenko1
  • Вопрос задан 2 года назад

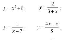
2. Знайдiть область визначення функції, заданоï формулою

Приложения:

Ответы

Ответ дал: fine14
0

Ответ:1 - будь яке значення, 2 - всі значення крім -3 , 3 - всі значення крім 7, 4 - будь яке значення.

Объяснение:

Вас заинтересует