• Предмет: Математика
  • Автор: anksynov
  • Вопрос задан 2 года назад

помогите пжшка!!!!....​

Приложения:

Ответы

Ответ дал: iramazurk
0

Ответ:

5

Пошаговое объяснение:

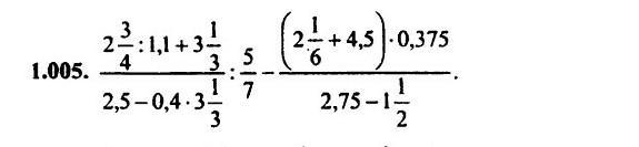
1) 2 3/4 : 1,1 = 11/4 : 11/10 = 11/4 * 10/11 = 10/4 = 5/2 = 2 1/2

2) 2 1/2 + 3 1/3 = 2 3/6 + 3 2/6 = 5 5/6

Это числитель 1 дроби

3) 0,4 * 3 1/3 = 4/10 * 10/3 = 4/3

4) 2,5 - 4/3 = 25/10 - 4/3 = 75/30 - 40/30 = 35/30 = 7/6

Это знаменатель 1 дроби

5) 5 5/6 : 7/6 = 35/6 * 6/7 = 35/7 = 5

Это результат 1 дроби

6) 5 : 5/7 = 5 * 7/5 = 35/5 = 7

7) 2 1/6 + 4,5 = 13/6 + 45/10 = 65/30 + 135/30 = 200/30 = 20/3

8) 20/3 * 0,375 = 20/3 * 3/8 = 20/8 = 5/2 = 2,5

Это числитель 2 дроби

9) 2,75 - 1 1/2 = 2,75 - 1,5 = 1,25

Это знаменатель 2 дроби

10) 2,5 : 1,25 = 2

Это результат 2 дроби

11) 7 - 2 = 5

Это результат всего примера

Вас заинтересует