Алгебра. Даю 100 балів. потрібно вирішити завдання з максимальним поясненням щоб було усе зрозуміло будь ласка.
з дуже детальним поясненням будь ласка
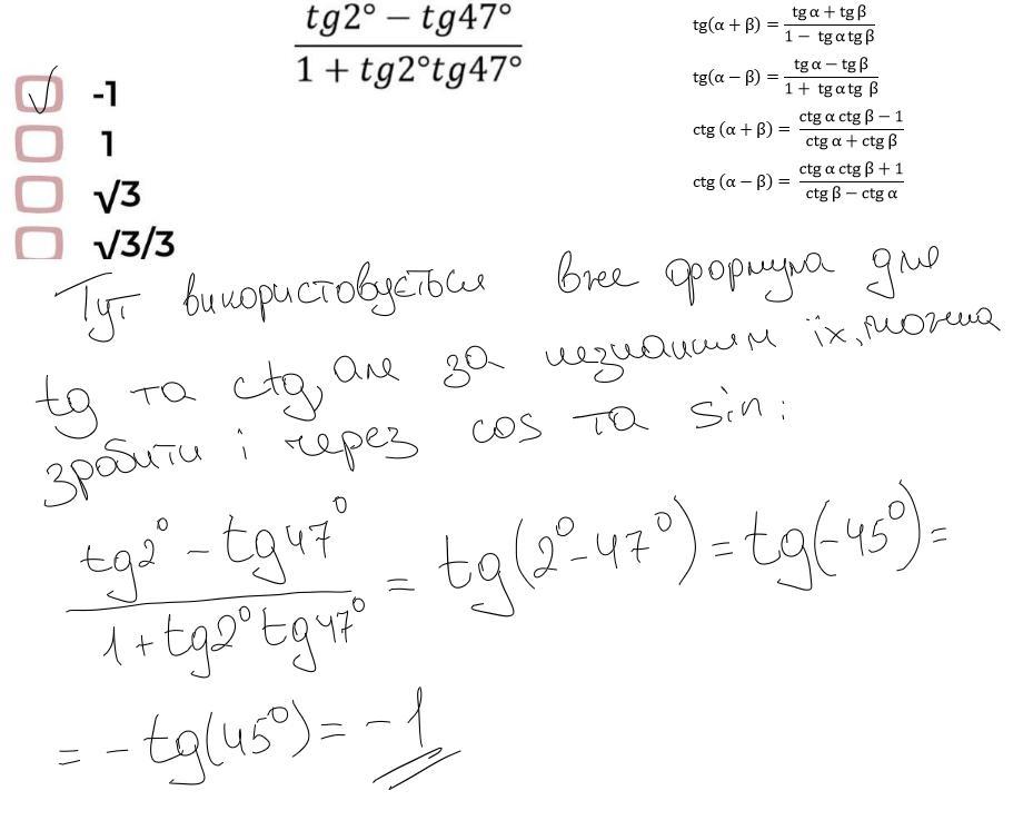
Приложения:





BeraSmoothy:
Мені ось що цікаво! Ти точно не 9, 10 клас, але задаєш завдання з 6, 7, 8, 9, 10 і 11 класів. Хто ти, джедай?!)
Ответы
Ответ дал:
1
1. У слові "ЗАКАРПАТТЯ" є 10 букв, які можна переставляти в будь-якому порядку 10! способами.
Відповідь: 3 628 800 слів.
Приложения:


Вас заинтересует
1 год назад
1 год назад
1 год назад
3 года назад
3 года назад