Ответы
Ответ дал:
1
Ответ:
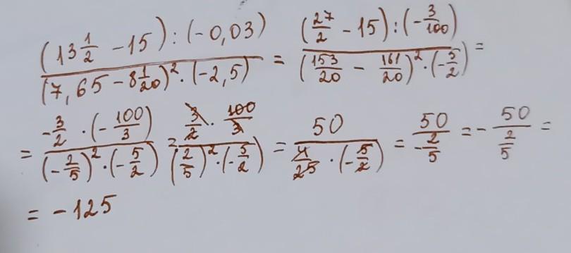
-125
решение прикрепила ниже
Приложения:

Вас заинтересует
1 год назад
1 год назад
1 год назад
3 года назад
8 лет назад