Ответы
Ответ дал:
1
Объяснение:
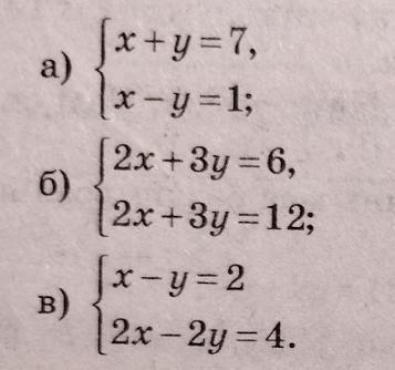
а)
х+у=7; у=7-х х=0 у=7; х=7 у=0
х-у=1; у=х-1; х=0 у=-1; х=1 у=0
А (4; 3)
б)
2х+3у=6
2х+3у=12
система не має розв"язків.
в)
х-2=2
2х-2у=4; х-у=2
Система не має розв"язків.
Приложения:

Вас заинтересует
1 год назад
1 год назад
1 год назад
1 год назад
3 года назад
3 года назад
8 лет назад