Ответы
Ответ дал:
1
Объяснение:
попробуйте предложенный вариант; ответы подчёркнуты цветным.
Приложения:

mazelov:
помогите пожалуйста с алгеброй у меня в профиле
Ответ дал:
1
Ответ:
Объяснение:
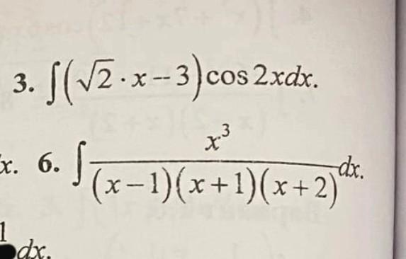
Вычислить интеграл:
1.
Интегрирование по частям:
2.
Преобразуем подинтегральное выражениие.
Выделим целую часть:
Получим сумму интегралов:
Вычислим второй интеграл, представив подинтегральное выражение в виде суммы простейших дробей:
Избавимся от знаменателя:
Сравним коэффициенты при одинаковых степенях х, решим систему уравнений:
из второго уравнения:
подставим в первое:
В и С подставим в третье:
Вас заинтересует
1 год назад
1 год назад
1 год назад
1 год назад
3 года назад
3 года назад
8 лет назад