• Предмет: Алгебра
  • Автор: malolasters15
  • Вопрос задан 2 года назад

розв'яжіть рівняння на фото​

Приложения:

Ответы

Ответ дал: dobra888
0

Відповідь:

Пояснення:

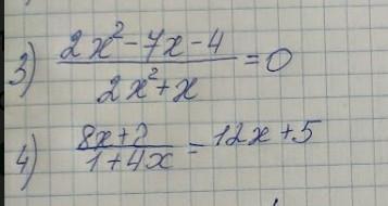
   3)  ( 2x² - 7x - 4 )/( 2x² + x ) = 0 ;   ⇒  { 2x² - 7x - 4 = 0 ;   ⇒

                                                               { 2x² + x ≠ 0 ;    

{ 2x² - 7x - 4 = 0 ;   ⇒  { 2x² - 7x - 4 = 0 ;

{ x( 2x + 1 ) ≠ 0 ;           { x ≠ - 1/2  i  x ≠ 0 .  Розв'яжемо  1- е рівняння :

          2x² - 7x - 4 = 0 ;

        D = (- 7 )² - 4*2*(- 4 ) = 81 > 0 ;   x₁ = - 1/2  ;      x₂ = 4 .

 x₁ = - 1/2 ; - cторонній корінь .

 В  -  дь :  х = 4 .

     4)  ( 8x + 2 )/( 1 + 4x ) = 12x + 5 ;

          2( 4x + 1 )/( 4x + 1 ) = 12x + 5 ;      ( 4x + 1 ≠ 0 ; )

          2 =  12x + 5 ;

          12x = 2 - 5 ;

          12x = - 3 ;

              x = - 3 : 12 ;

              x = - 1/4 ; - сторонній корінь .

    В  -  дь : рівняння не має коренів .

       

Вас заинтересует