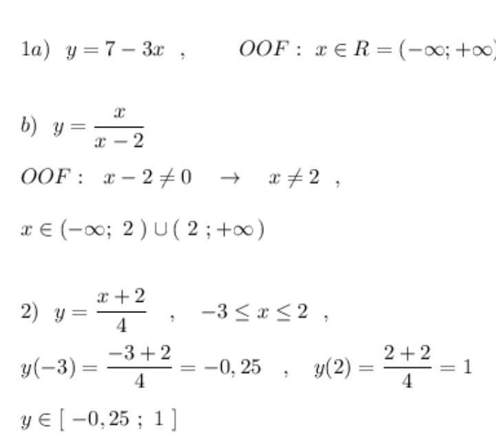
а) область определения функции, заданной формулой: X y=. 1) y=1-3x 2) x+4 b) область значений функции y=2x+1 , на отрезке 1
СРОЧНО ПОМОГИТЕ!!!
Ответы
Ответ дал:
1
Ответ:
дайте бал пж
Пошаговое объяснение:
Короче списывай правильно
Приложения:

Вас заинтересует
1 год назад
1 год назад
1 год назад
1 год назад
3 года назад
8 лет назад