• Предмет: Алгебра
  • Автор: oleksandrivkalila
  • Вопрос задан 2 года назад

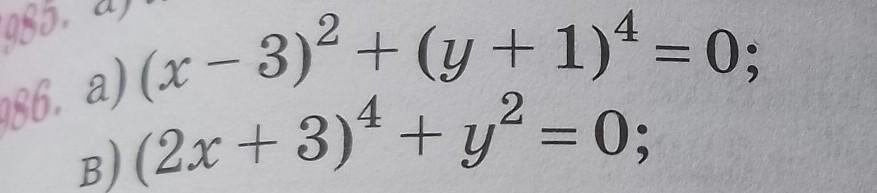
допоможіть розв'язати ці два рівняння ‍​

Приложения:

Ответы

Ответ дал: liftec74
1

Ответ:

Объяснение:

а)  Так как любое число в квадрате есть число неотрицательное,

и число в четвертой степени тоже есть число неотрицательное, так единственный случай когда сумма двух неотрицательных чисел равна 0,- это случай , когда каждое из чисел равно 0.

То есть

х-3=0    и  у+1=0 => x=3 y=-1

Ответ (x=3; y=-1)

б) Рассуждая аналогично , как и в первом задании , приходим к выводу, что

2х+3=0  и у=0

х= -1.5   и  у=0

(х= -1.5 ; у=0)

Вас заинтересует