Срочно!!!
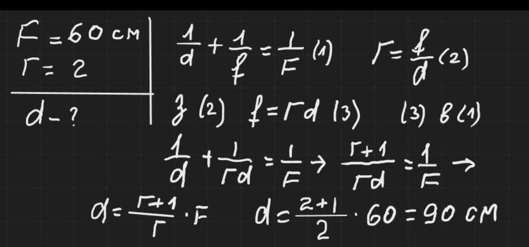
На якій відстані від збиральної лінзи з фокусною відстанню 60 см потрібно розташувати предмет, щоб отримати його дійсне зображення, зменшене в 2 рази?
Ответы
Ответ дал:
0
Ответ:
90 см відповідь нижче
Приложения:

angelinamakogin2824:
якщо зменшити , а не збільшити
Вас заинтересует
1 год назад
1 год назад
1 год назад
3 года назад
8 лет назад