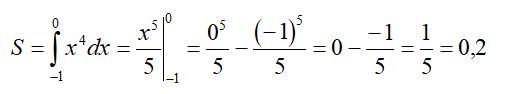
Знайдіть площу криволінійної трапеції
Будь ласка з рiшенням!
Приложения:

IUV:
0,2
Ответы
Ответ дал:
1
Відповідь:
Покрокове пояснення:
Приложения:

Вас заинтересует
1 год назад
1 год назад
1 год назад
3 года назад
3 года назад
8 лет назад