• Предмет: Математика
  • Автор: kirilleomay417
  • Вопрос задан 2 года назад

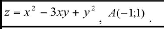
допоможіть з математикою будь ласка((( треба знайти gradz у точці А

Приложения:

Ответы

Ответ дал: Аноним
0

типу A(-1, 1) це як A(x, y)

z =-1^{2} -3*(-1)*1+ 1^{2}\\z = 1+3+1\\z=5

Вас заинтересует