Ответы
Ответ дал:
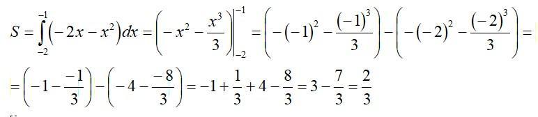
1
Відповідь:
Покрокове пояснення:
Приложения:

evtussergej602:
СУПЕР! ДУЖЕ ДЯКУЮ! ТИ НАЙРОЗУМНIШИЙ!
Вас заинтересует
1 год назад
1 год назад
1 год назад
1 год назад
3 года назад
3 года назад
8 лет назад