ДАЮ 50 БАЛЛОВ, уже не знаю, что делать. Помогите с заданием, пожалуйста. Заранее благодарю!:)
Приложения:
Ответы
Ответ дал:
1
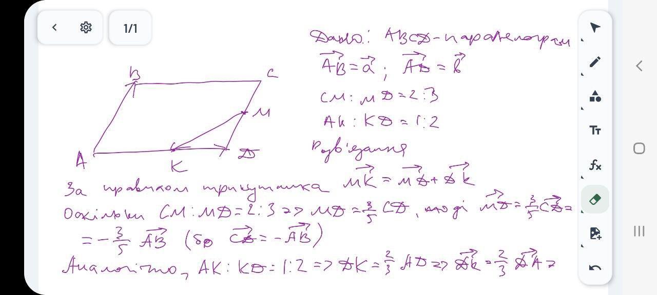
Відповідь і пояснення: на фото
Приложения:
LediKris:
дуже дякую, Людино, Ви справді мене сьогодні врятували!)
Вас заинтересует
2 года назад
2 года назад
2 года назад
3 года назад
3 года назад
9 лет назад
9 лет назад