• Предмет: Алгебра
  • Автор: sanyaua2009
  • Вопрос задан 2 года назад

Допоможіть срочно!!! Розв'яжіть рівняння

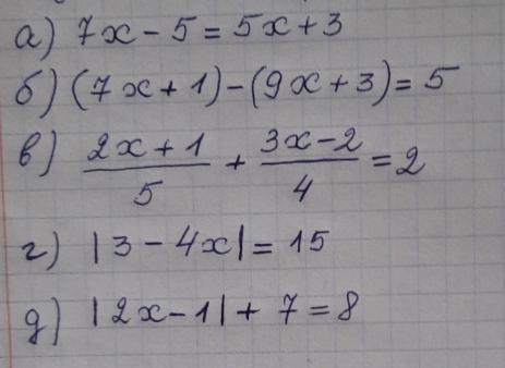
Приложения:

Ответы

Ответ дал: sangers1959
1

Пояснення:

a)

7x-5=5x+3\\\\7x-5x=3+5\\\\2x=8\ |:2\\\\x=4.\\

б)

(7x+1)-(9x+3)=5\\\\7x+1-9x-3=5\\\\-2x-2=5\\\\-2x=7\ |:(-2)\\\\x=-3,5.

в)

\displaystyle\\\frac{2x+1}{5} +\frac{3x-2}{4}=2\ |*20 \\\\4*(2x+1)+5*(3x-2)=2*20\\\\8x+4+15x-10=40\\\\23x=46\ |:23\\\\x=2.

г)

|3-4x|=15

Розкриваємо модуль - отримуємо систему рівнянь:

\displaystyle\\\left \{ {{3-4x=-15} \atop {3-4x=15}} \right. \ \ \ \ \ \ \left \{ {{3+15=4x} \atop {3-15=4x}} \right. \ \ \ \ \ \ \left \{ {4x=18\ :4} \atop {4x=-12\ |:4}} \right. \ \ \ \ \ \ \left \{ {{x_1=4,5} \atop {x_2=-3}} \right..

Відповідь: х₁=4,5    х₂=-3.

д)

|2x-1|+7=8

|2x-1|=1

Розкриваємо модуль - отримуємо систему рівнянь:

\displaystyle\\\left \{ {{2x-1=-1} \atop {2x-1=1}} \right. \ \ \ \ \ \ \left \{ {{2x=0\ |:2} \atop {2x=2\ |:2}} \right. \ \ \ \ \ \ \left \{ {{x_1=0} \atop {x_2=1}} \right. .

Відповідь: х₁=0    х₂=1.


sangers1959: Удачи.
Вас заинтересует