• Предмет: Алгебра
  • Автор: ВладимирБ
  • Вопрос задан 2 года назад

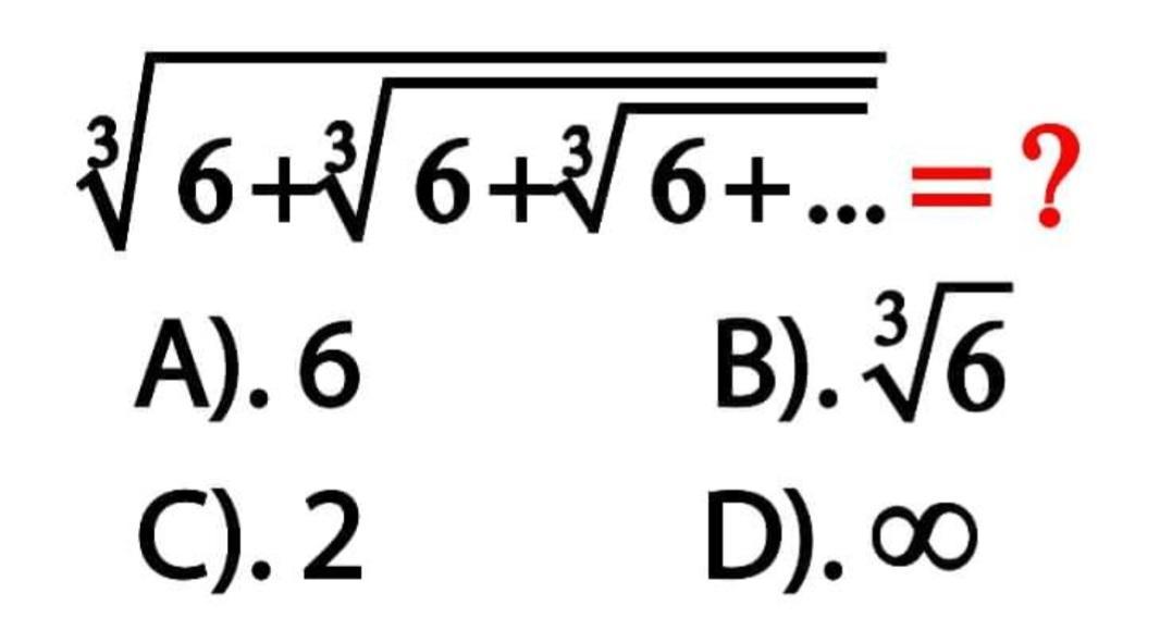
Вычислите▪︎▪︎▪︎▪︎▪︎▪︎▪︎▪︎▪︎▪︎▪︎▪︎▪︎▪︎▪︎▪︎

Приложения:

Ответы

Ответ дал: hderyb
3

Ответ:

C).2

Объяснение:

\sqrt[3]{6+\sqrt[3]{6+\sqrt[6]{6...} } }=R

R-число, которому равняется это выражение

Мысленно уберём первый элемент, тогда получится всё тот же бесконечный ряд из корней третей степени и шестёрок, который всё также равняется R, тогда можем подставить:

\sqrt[3]{6+R} =R\\6+R=R^{3}\\ R^{3}-R-6=0

Можно даже не решать это уравнение, а просто подставить значения из предложенных, так как всё равно ответ среди них. Подходит R=2

Вас заинтересует