• Предмет: Математика
  • Автор: Amina19939
  • Вопрос задан 2 года назад

Помогите решить пожалуйста! Хотя бы один, любой!! Пожалуйста

Приложения:

Ответы

Ответ дал: Alnadya
1

Решение.

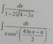
Найти неопределённый интеграл .

1)  Метод замены переменной .

\bf \displaystyle \int \dfrac{dx}{1-2\sqrt[3]{4-3x}}=\Big[\ t^3=4-3x\ ,\ x=\frac{4-t^3}{3}\ ,\ dx=-\, t^2\, dt\ \Big]=\\\\\\=-\int \dfrac{t^2\, dt}{1-2t}=\int \frac{t^2\, dt}{2t-1}=\int \Big(\frac{1}{2}\, t+\dfrac{1}{4}+\frac{1/4}{2t-1}\, \Big)\, dt=\\\\\\=\frac{t^2}{4}+\frac{t}{4}+\frac{1}{4\cdot 2}\cdot ln|\, 2t-1\, |+C=\\\\\\=\frac{\sqrt[3]{\bf (4-3x)^2}}{4}+\frac{\sqrt[3]{\bf 4-3x}}{4}+\frac{1}{8}\cdot ln\Big|\, 2\sqrt[3]{\bf 4-3x}-1\, \Big|+C        

\displaystyle \bf 2)\ \ \int \frac{dx}{x\cdot cos^2\Big(\dfrac{4\, lnx-\pi }{2}\Big)}=\Big[\ t=\frac{4\, lnx-\pi }{2}\ ,\ dt=\frac{2}{x}\, dx\ \Big]=\\\\\\=\frac{1}{2}\int \frac{dt}{cos^2t}=\frac{1}{2}\cdot tg\, t+C=\frac{1}{2}\cdot tg\Big(\frac{4\, lnx-\pi }{2}\Big)+C      

Вас заинтересует