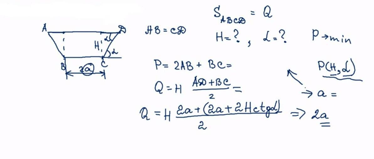
Канал подводящий воду к турбине имеет в сечении равнобедренную трапецию
Площадь этой трапеции = Q
Определить глубину канала H и угол склона альфа так, чтобы его смоченный периметр был наименьший
Приложения:

Ответы
Ответ дал:
1
Ответ:
60°
Пошаговое объяснение:
Q=cons;
h=cons;
P=a+2в;
α при Р min ? при постоянной площади и высоте средняя линия тоже постоянная m=Q/h=2/1=2. Для определения угла принимаем Q=2; h=1; принимаем α₁=30°; α₂=45°; α₃=60° и построим эти трапеции и определим а и в Р₁=а₁+2в₁=0,27+2*2=4,27; Р₁=а₂+2в₂=1+2*1,41=3,82;
Р₁=а₃+2в₃=0,42+2*1,15=3,72. Если взять α=59° или 61° Р будут больше 3,72. Делаем вывод при α=60° - Р min
Приложения:

Вас заинтересует
1 год назад
1 год назад
1 год назад
3 года назад
3 года назад
8 лет назад