Ответы
Ответ дал:
0
Ответ:
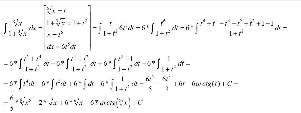
решение на фотографии....
Приложения:

Ответ дал:
0
Відповідь:
Пояснення:
Приложения:

Вас заинтересует
1 год назад
1 год назад
1 год назад
3 года назад
3 года назад
8 лет назад