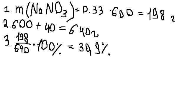
До 600 г розчину натрій нітрату NaNO3 з масовою часткою солі 33 % додали 40 мл води. Укажи масову частку натрій нітрату NaNO3 в утвореному розчині.
30,9
27,8
37,1
Ответы
Ответ дал:
0
Ответ: 1) 30.9
Объяснение:
Приложения:

Вас заинтересует
1 год назад
1 год назад
1 год назад
1 год назад
8 лет назад
w ( в − ва ) = m ( в − ва ) /m ( р − ра ) ⋅ 100 %
m ( NaNO3 )= w ( в − ва ) ·m ( р − ра 1)