• Предмет: Алгебра
  • Автор: hpeople177
  • Вопрос задан 2 года назад

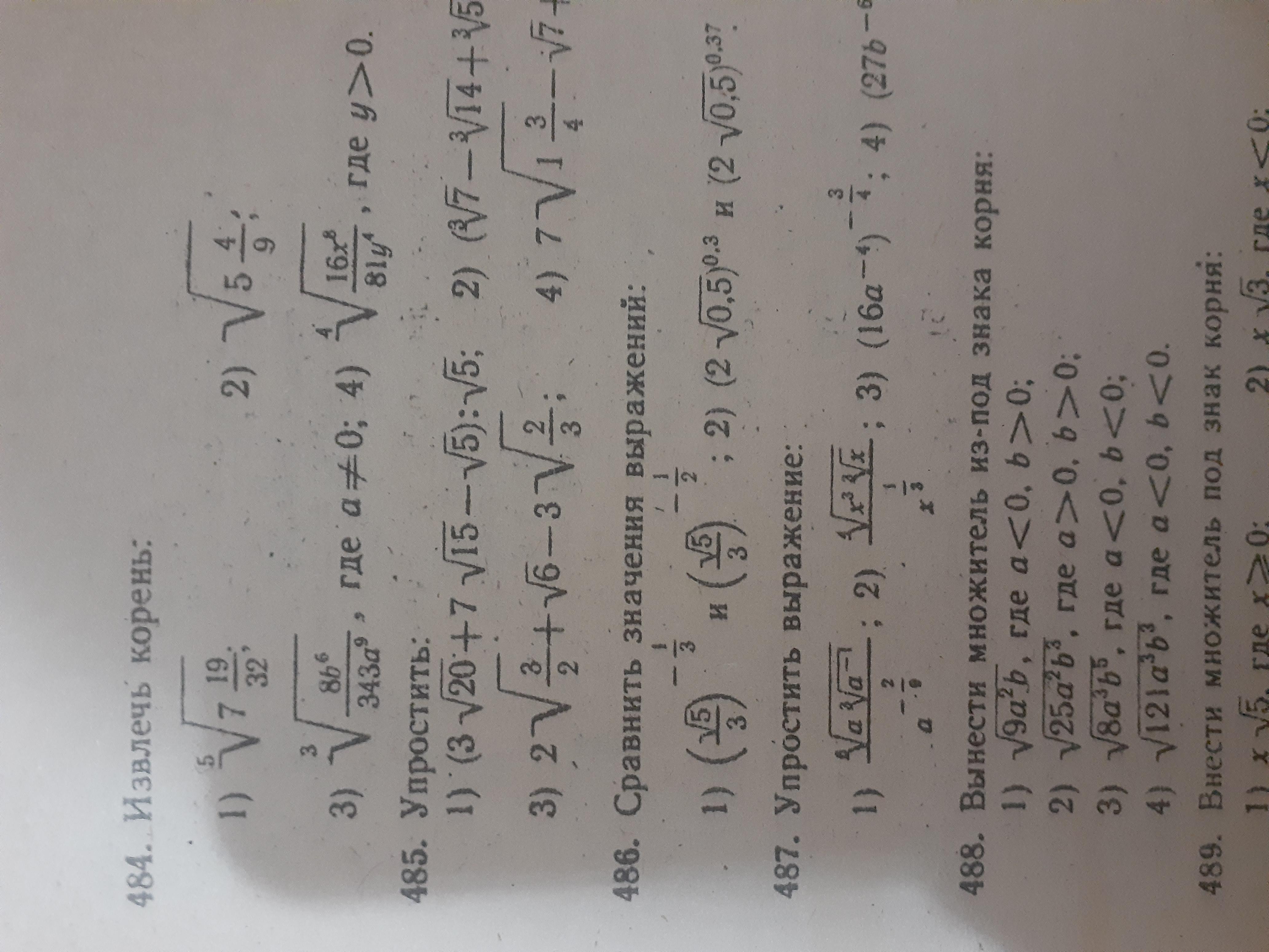
Номер 486, сравните значения выражений. Алгебра,
9 класс

Приложения:

BeraSmoothy: 486?!

Ответы

Ответ дал: topggg2000
0

Ответ:

в первом -1/3<-1/2

2)0,3<0,37

Вас заинтересует