Ответы
Ответ дал:
0
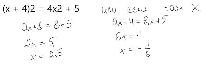
Написал 2 случая, если там умножение на 2 и если там 4х
Приложения:

dzafarzadesabina:
благодарю
Ответ дал:
0
Объяснение:
(х+4)²=4х²+5
х²+8х+16=4х²+5
х²-4х²+8х+16-5=0
-3х²+8х+11=0
3x²-8x-11=0
D=(-8)²-4•3•(-11)=64+132=196
x1=(8-14)/2•3= -1
x2=(8+14)/6=22/6=11/3
ответ: х1= -1 ; х2=11/3
Вас заинтересует
1 год назад
1 год назад
3 года назад
3 года назад
8 лет назад
8 лет назад