• Предмет: Математика
  • Автор: ishenkoarianna
  • Вопрос задан 2 года назад

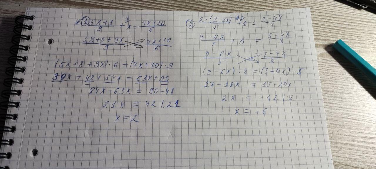
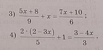
решите уравнения
20б​

Приложения:

Ответы

Ответ дал: Alexander890
1

Ответ:

Расписал на фотографии.

Приложения:
Вас заинтересует