• Предмет: Алгебра
  • Автор: geyehue
  • Вопрос задан 2 года назад

даю 30 баллов ! срочно

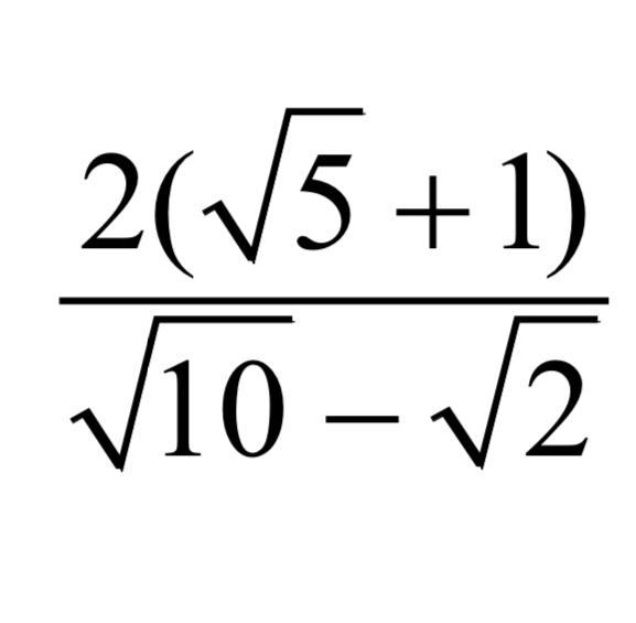
Приложения:

Ответы

Ответ дал: tetamotatetyamotya
1

Ответ:

.....,.,,....

Объяснение:

.........,.,.....

Приложения:
Вас заинтересует