• Предмет: Математика
  • Автор: sokolovanas
  • Вопрос задан 2 года назад

Ппжпжпжпжпжпжпжппжпжжпжпжпжпп

Приложения:

Аноним: напиши инст,там решу

Ответы

Ответ дал: kristinamun89
0

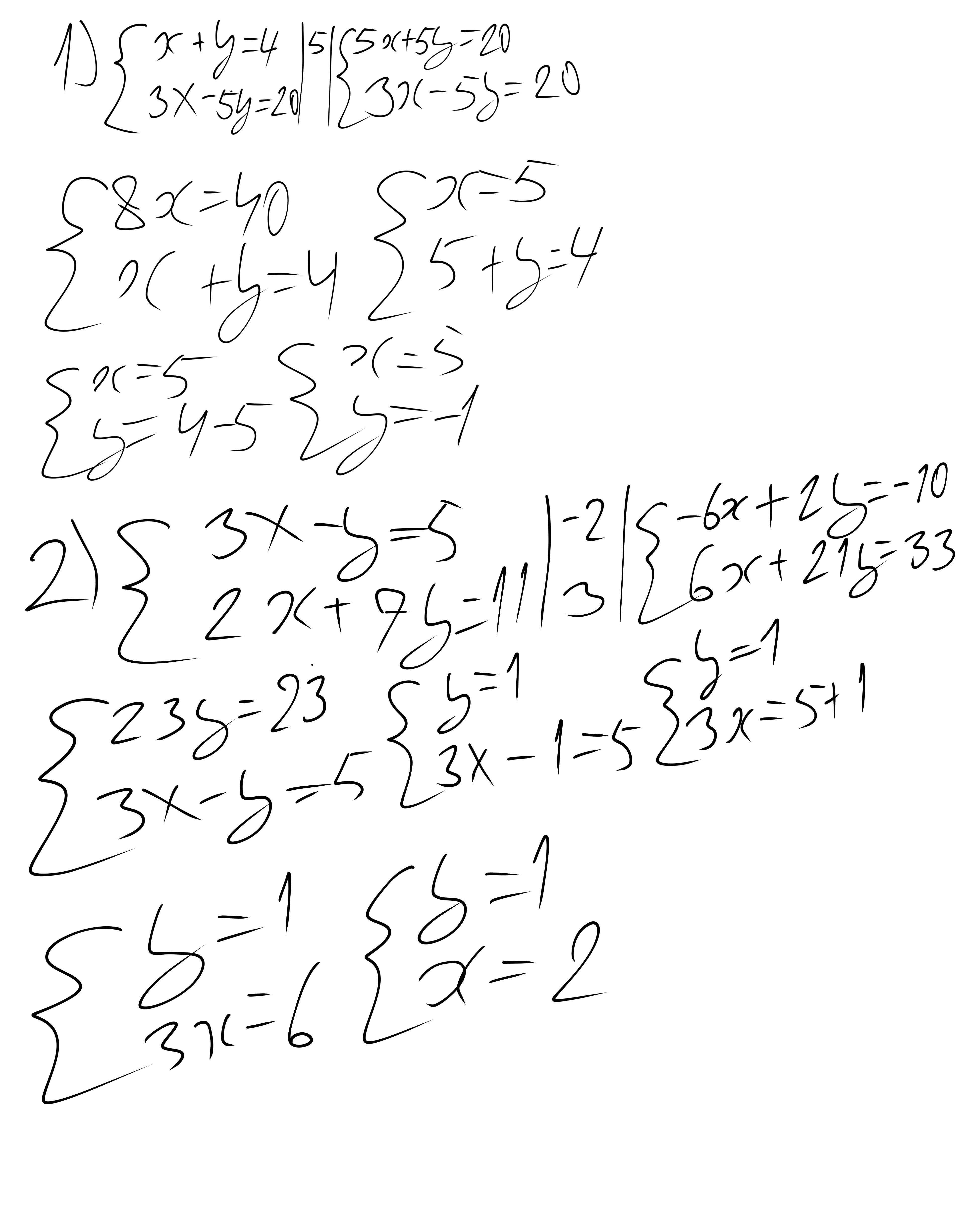
Ответ:

Пошаговое объяснение:

Приложения:
Ответ дал: inzhumeir42
0
Ответ:





Пошаговое объяснение
Приложения:
Вас заинтересует