• Предмет: Химия
  • Автор: 00pelmeshka00
  • Вопрос задан 2 года назад

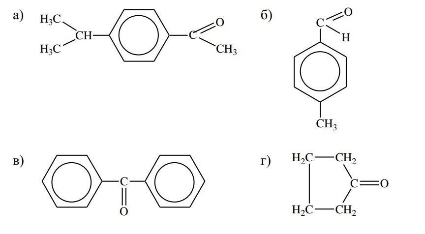
Дайте названия этим оксосоединениям ​

Приложения:

Ответы

Ответ дал: vaisovaa0
0

Ответ:

а)3-метилпентен-1-ин-4

б)5-метилгексен-1-ин-3

в)Пентадиен-1,2

г)3,4-диметилгексен-5-ин-1

Вас заинтересует