Ответы
Ответ дал:
0
Ответ:
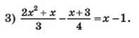
если тебе попадаются уравнения с простыми дробями, то умножай обе части уравнения настолько, чтобы избавиться от знаменателя, в этом случае умножаешь на 12
дальше дело техники
такие уравнения лёгкие нужно самому их стараться решать.
Приложения:

Вас заинтересует
1 год назад
1 год назад
1 год назад
1 год назад
3 года назад
3 года назад
8 лет назад
8 лет назад