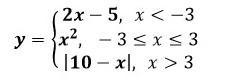
Вправа 44.3. Розглянемо ще одну задачу. Дано значення змінної x, знайти значення
КОД У PYTHON
Приложения:

Ответы
Ответ дал:
1
x = int(input('x = '))
if x < -3:
y = 2 * x - 5
elif -3 <= x <= 3:
y = x ** 2
else:
y = abs(10 - x)
print(f'{y=}')
Аноним:
Наче працює
Вас заинтересует
1 год назад
1 год назад
3 года назад
8 лет назад
8 лет назад