• Предмет: Алгебра
  • Автор: love67
  • Вопрос задан 11 лет назад

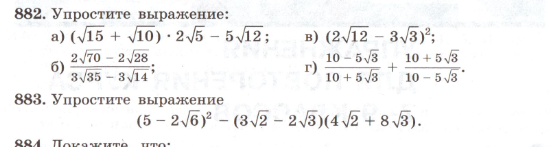
очень нужно 882 ( в,г) и 883

882 ( а иб 0 вроде решили

Приложения:

Ответы

Ответ дал: Underappreciated
0

в) (2sqrt{12}-3sqrt{3})^2 = 4*12-2*2sqrt{12}*3sqrt{3}+9*3 = =48-12sqrt{36}+27 = 75-72 = 3

г) frac{10-5sqrt{3}}{10+5sqrt{3}}+frac{10+5sqrt{3}}{10-5sqrt{3}} = frac{(10-5sqrt{3})^+(10+5sqrt{3})^2}{100-25*3} =  = frac{100-100sqrt{3}+75+100+100sqrt{3}+75}{100-75} = frac{350}{25} = 14

 

Вас заинтересует