• Предмет: Алгебра
  • Автор: uyvgfyudfukgf765877v
  • Вопрос задан 2 года назад

АЛГЕБРАААААА!!!!!!!!!!!!!!!!!!!!!!!!!!!!1

Приложения:

Ответы

Ответ дал: sangers1959
0

Ответ: x=2.

Объяснение:

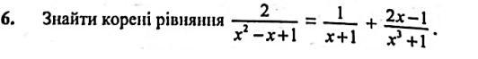
\displaystyle\\6.\\\\\frac{2}{x^2-x+1} =\frac{1}{x+1}+\frac{2x-1}{x^3+1}  .\\

ОДЗ:

\displaystyle\\x^3+1=(x+1)*(x^2-x+1)\\\\x+1\neq 0\\\\x\neq -1.\\\\x^2-x+1\neq 0\\\\x^2-2*x*\frac{1}{2} +\frac{1}{4} -\frac{1}{4} +1\neq 0\\\\(x-\frac{1}{2})^2+\frac{3}{4} > 0\ \ \ \ \Rightarrow\\\\x\in(-\infty;-1)U(-1;+\infty).

Решение:

\displaystyle\\\\\frac{2}{x^2-x+1} =\frac{1}{x+1}+\frac{2x-1}{x^3+1}  \ |*(x^3+1)\\\\2*(x+1)=1*(x^2-x+1)+(2x-1)*1\\\\2x+2=x^2-x+1+2x-1\\\\x^2-x-2=0\\\\x^2-2x+x-2=0\\\\x*(x-2)+(x-2)=0\\\\(x-2)*(x+1)=0\\\\x-2=0\\\\x_1=2.\\\\x+1=0\\\\x_2=-1\notin(x\neq -1)\\

Вас заинтересует